Меню
Сведения об образовательной организации
Сведения об образовательной организации
Назад
Сведения об образовательной организации
Основные сведения
Структура и органы управления образовательной организацией
Документы
Образование
Образование
Назад
Образование
ФОП ДО
Приказы
Информация о календарном учебном графике
Информация о расписании образовательной деятельности
Информация о числености обучающихся по реализуемым образовательным программам за счет бюджетных осигнований федерального бюджета, бюджетов субъектов РФ, местных бюджетов
Мониторинг детей освоение программы
Музейная педагогика.
Примерная основная образовательная программа дошкольного образования
Реализуемые уровни образования, дошкольного образования, нормативных сроках обучения
Рабочая программа
Образовательные стандарты и требования
Руководство
Педагогический состав
Материально-техническое обеспечение и оснащённость образовательного процесса. Доступная среда
Материально-техническое обеспечение и оснащённость образовательного процесса. Доступная среда
Назад
Материально-техническое обеспечение и оснащённость образовательного процесса. Доступная среда
Материально-техническое обеспечение и оснащение
Питание
Электронные образовательные ресурсы
Стипендии и меры поддержки обучающихся
Платные образовательные услуги
Финансово-хозяйственная деятельность
Вакантные места для приёма (перевода) обучающихся
Международное сотрудничество
Организация питания в образовательной организации
Министерство науки и высшего образования Российской Федерации
Министерство просвещения Российской Федерации
Законодательная карта
Материально-техническое обеспечение образовательной деятельности для лиц с ограниченными возможностями здоровья и инвалидов
Международное сотрудничество
Наши достижения
Паспорт по обеспечению безопасности дорожного движения
Сведения о ДОУ
Социальные гарантии работников ДОУ
Наставничество в ДОУ
Обращения
Обращения
Назад
Обращения
Личный прием
Электронные обращения
Письменное обращение
Порядок обжалования
Проверить статус обращения
Ответы на обращения, затрагивающие интересы неопределенного круга лиц
Противодействие коррупции
Информационная безопасность
Информационная безопасность
Назад
Информационная безопасность
Локальные нормативные акты в сфере обеспечения информационной безопасности обучающихся
Нормативное регулирование
Педагогическим работникам
Обучающимся
Родителям (законным представителям обучающихся)
Детские безопасные сайты
Детские безопасные сайты
Назад
Детские безопасные сайты
Детские безопасные сайты
Комплексная безопасность
Антитеррористическая защищённость
НОКО. Независимая оценка качества образования
НОКО. Независимая оценка качества образования
Назад
НОКО. Независимая оценка качества образования
Независимая оценка качества образования ( НОКО)
Муниципальное дошкольное образовательное автономное учреждение детский сад с. Октябрьское
8(347) 3273355
oktoberdetckicad@yandex.ru
Версия для слабовидящих
Войти
Меню
Главная
О нас
О нас
Назад
О нас
История детского сада
Благодарности
Места занятий
Дипломы и награды
Дипломы и награды
Назад
Дипломы и награды
Наши награды
Наши награды
Назад
Наши награды
Наши награды
Отзывы
Отзывы
Назад
Отзывы
Добавить отзыв
Вакансии
Вакансии
Назад
Вакансии
Заполнить анкету
Вопрос-ответ
Вопрос-ответ
Назад
Вопрос-ответ
Задать вопрос
Доска почёта
Партнёры
Наша жизнь
Наша жизнь
Назад
Наша жизнь
Расписание
Кружки и секции
Новости
Объявления
Фотогалерея
Видеогалерея
Мероприятия
Полезные статьи
Презентации
Родителям
Родителям
Назад
Родителям
Приём в детский сад
Приём в детский сад
Назад
Приём в детский сад
Приём в детский сад
Группы
Расписание
Платные образовательные услуги
Платные образовательные услуги
Назад
Платные образовательные услуги
Порядок оказания платных образовательных услуг
Цены на платные услуги
Перечень платных услуг
Вопрос-ответ
Полезные ссылки
Новости
Объявления
Правила внутреннего распорядка
Информация о вакатных местах воспитанников
Консультационный центр для родителей
Персональные данные.
Приказ о зачислении в ДОУ от 16.08.2021
Телефоны
Телефоны
Назад
Телефоны
Телефоны " Горячих линий"
Педагогам
Педагогам
Назад
Педагогам
Аттестации
Расписание
Новости
Объявления
Правила внутреннего трудового распорядка
Методические материалы
Питание
Питание
Назад
Питание
Организация питания
Организация питания
Назад
Организация питания
Организация питания
Меню
Нормативные документы
Бесплатное питание для льготных категорий граждан
Стоимость питания
Поставщики
Общие сведения по оператору питания
Телефоны горячей линии по питанию
Контакты
Контакты
Назад
Контакты
Контакты контролирующих организаций
Реквизиты организации
Реквизиты организации
Назад
Реквизиты организации
Реквизиты организации
Телефонный справочник
Дистанционная работа
Новости
Организация питания
Стоимость питания
Паспорт безопасности
Паспорт безопасности
Назад
Паспорт безопасности
Безопасность на дорогах
Безопасность на дорогах
Безопасность на дорогах
Назад
Безопасность на дорогах
Безопасность детей
Безопасность детей
Безопасность детей
Назад
Безопасность детей
Наш профсоюз
covid-19
Наш профсоюз
ВСОКО
Питание
Меню
Меню
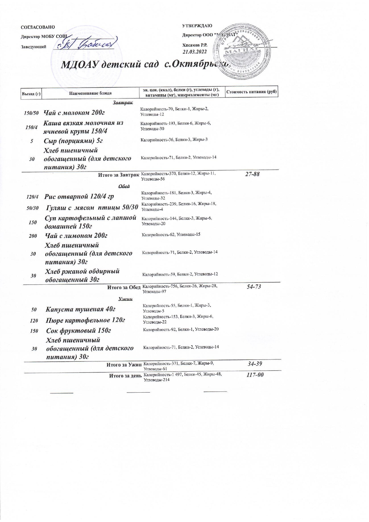
21.03.2022
Меню
(меню)
13:55
18.03.2022
Завтрак
(меню)
13:29
Обед
(меню)
13:30
Меню
(меню)
13:28
17.03.2022
Меню
(Меню)
10:42
16.03.2022
Завтрак
(меню)
14:19
Обед
(меню)
14:20
Меню
(меню)
09:01
15.03.2022
Завтрак
(меню)
17:41
Обед
(меню)
17:42
Назад
1
...
302
303
304
305
306
...
329
Вперед